Reklama
Ciekawostki
Finanse
Podróże
Styl życia
Dom i wnętrze
Ogród
Gotowanie
Porady
Horoskopy
Quizy
Więcej
Ciekawostki
Finanse
Podróże
Styl życia
Dom i wnętrze
Ogród
Gotowanie
Porady
Horoskopy
Quizy
Interia
Top.pl
Jan Kincel
Bez względu na temat, zawsze dokładnie zgłębia sedno i dostarcza treści, które przykuwają uwagę i budzą zainteresowanie czytelnika. Otwarty na nowe wyzwania i gotowy do nauki....
czytaj więcej
Finanse
Seniorzy dostaną więcej pieniędzy? Nawet 8000 złotych, ale nie dla każdego
Ciekawostki
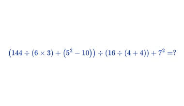
Dzieci w szkole rozwiązują, a dorośli mają problem. Jaki jest poprawny wynik?
Reklama
Pobierz aplikację POMPONIK. Kliknij!
Polub nas na Facebooku!
Porady
Wylewasz olej po smażeniu do zlewu? Zamiast zapychać rury, oddaj go tutaj
Finanse
Możesz zmniejszyć rachunki za zakupy spożywcze. Tak zaoszczędzisz na jedzeniu
Gotowanie
Olej z jednej z najzdrowszych przypraw. Pomaga na odporność, trawienie i koi nerwy
Podróże
Polska też ma swoje piramidy i to starsze niż te w Egipcie. Nie zgadniesz, gdzie leżą
Ciekawostki
Niby proste równanie, a połowa osób podaje zły wynik. Jesteś od nich bystrzejszy?
Ogród
Tych błędów róże nie wybaczą. Nie popełniaj ich, jeśli chcesz mieć piękne kwiaty
Finanse
Wybierasz się na jagody do lasu? Uważaj, możesz dostać kilkaset złotych mandatu
Ciekawostki
Zagadka matematyczna, która rozkłada na łopatki. Internauci nie mają pojęcia, jak ją rozwiązać
Ogród
Kup w aptece i spryskaj ogórki. Zżółknięte liście znikną, a ogórki będą duże i smaczne
Porady
Co lepiej pić: maślankę czy kefir? Dobry wybór pomoże ci schudnąć
Finanse
O ile wzrosną podatki w przyszłym roku? Mamy wyliczenia
Podróże
To prawdziwa perełka na polskiej mapie uzdrowisk. Nawet w lipcu nie ma tłumów
Ciekawostki
Większość osób popełnia błąd. Jedynie matematyczne orły dają radę to rozwiązać
Podróże
To najlepszy moment na wycieczkę w Tatry. Tylko teraz zobaczysz wyjątkowe zjawisko