Reklama
Ciekawostki
Finanse
Podróże
Styl życia
Dom i wnętrze
Ogród
Gotowanie
Porady
Horoskopy
Quizy
Więcej
Ciekawostki
Finanse
Podróże
Styl życia
Dom i wnętrze
Ogród
Gotowanie
Porady
Horoskopy
Quizy
Interia
Top.pl
Jan Kincel
Bez względu na temat, zawsze dokładnie zgłębia sedno i dostarcza treści, które przykuwają uwagę i budzą zainteresowanie czytelnika. Otwarty na nowe wyzwania i gotowy do nauki....
czytaj więcej
Gotowanie
Zawsze dodaję do kapuśniaku. Jest bardziej sycący i aromatyczny
Finanse
Sylwester dniem wolnym od pracy? Wielu Polaków się ucieszy z tego przepisu
Reklama
Pobierz aplikację POMPONIK. Kliknij!
Polub nas na Facebooku!
Porady
Natrzyj tym skórzane buty. Deszcz, śnieg i sól nie będą im straszne
Ciekawostki
Czy zima będzie mroźna i śnieżna? Meteorolodzy mówią jasno
Gotowanie
Surówka z jesiennego superfood. Spodnie od razu zrobią się luźne w pasie
Finanse
Ci emeryci mogą liczyć na zastrzyk gotówki w listopadzie. Kto dostanie pieniądze?
Porady
Chcesz obniżyć rachunki za ogrzewanie? Zainstaluj to nad grzejnikiem
Finanse
Dobra wiadomość dla seniorów. Od grudnia więcej pieniędzy zostanie im w kieszeni
Ciekawostki
Dzieci w podstawówce rozwiązują z zamkniętymi oczami. Dasz radę w 7 sekund?
Gotowanie
To najlepszy chleb na świecie. W Polsce jemy go rzadko
Porady
Przyklej to do podeszwy butów. Śliskie chodniki przestaną być wyzwaniem
Gotowanie
W PRL-u była na stole na każdej imprezie. Zrób na andrzejki, a zachwycisz gości
Gotowanie
Babcia zawsze wrzucała do barszczu. Ten dodatek jest lepszy niż jajko czy ziemniaki
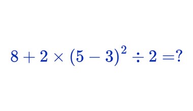
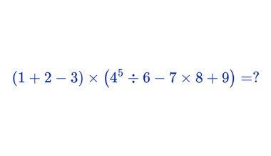
Ciekawostki
To pozornie łatwe działanie znów wywołało burzę w sieci. Potrafisz policzyć je poprawnie bez kalkulatora?
Styl życia
To będzie najmodniejsza czapka nadchodzącej zimy. Elegancka i nie niszczy fryzury
Gotowanie
Ma mnóstwo witaminy C i chroni przed przeziębieniem. Jedz 3 razy w tygodniu