Reklama
Ciekawostki
Finanse
Podróże
Styl życia
Dom i wnętrze
Ogród
Gotowanie
Porady
Horoskopy
Quizy
Więcej
Ciekawostki
Finanse
Podróże
Styl życia
Dom i wnętrze
Ogród
Gotowanie
Porady
Horoskopy
Quizy
Interia
Top.pl
Jan Kincel
Bez względu na temat, zawsze dokładnie zgłębia sedno i dostarcza treści, które przykuwają uwagę i budzą zainteresowanie czytelnika. Otwarty na nowe wyzwania i gotowy do nauki....
czytaj więcej
Finanse
W łatwy sposób można nie płacić abonamentu RTV. Nie chodzi tylko o emerytów
Ciekawostki
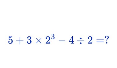
Zagadka, która doprowadza ludzi do szału. A wynik jest prostszy, niż myślisz
Reklama
Pobierz aplikację POMPONIK. Kliknij!
Polub nas na Facebooku!
Finanse
Skończyłeś 56 lat? Możesz dostać ponad 1800 zł, ale są warunki
Ciekawostki
Internet znów się kłóci o wynik tego działania. A prawda jest tylko jedna
Gotowanie
Pij zamiast śniadania, a wzmocnisz odporność. Zdrowy, smaczny i sycący
Finanse
ZUS bez łaski wysyła 350 zł miesięcznie. Wystarczy spełnić jeden z dwóch warunków
Finanse
Nastawiasz pranie na tym trybie? Nieświadomie zużywasz najwięcej prądu
Porady
Kupujesz taką paprykę? Dietetyk tłumaczy, że dajesz się... oszukać
Ciekawostki
Tylko garstka osób rozwiązała to poprawnie. Widzisz błąd, którego nie zauważyli inni?
Ciekawostki
To zadanie pojawiło się na sprawdzianie w trzeciej klasie podstawówki. Rozwiążesz w 30 sekund?
Porady
Wszyscy myślą, że ten grzyb jest trujący. Tymczasem w sosie to niebo w gębie
Gotowanie
Pij po przebudzeniu zamiast kawy. Szybko zobaczysz luz w pasie
Gotowanie
Znudziły ci się racuchy z jabłkami? Tym razem zrób je z innymi jesiennymi owocami
Dom i wnętrze
To będzie najmodniejszy kolor 2026 r. Kup taką farbę, jeśli planujesz remont
Gotowanie
Takie ziemniaki podają na Podhalu. Teraz zrobisz je w domu i to bez zachodu
Porady
Wkładasz naczynia do zmywarki w ten sposób? Nie dziw się, że po myciu dalej są brudne