Reklama
Ciekawostki
Finanse
Podróże
Styl życia
Dom i wnętrze
Ogród
Gotowanie
Porady
Horoskopy
Quizy
Więcej
Ciekawostki
Finanse
Podróże
Styl życia
Dom i wnętrze
Ogród
Gotowanie
Porady
Horoskopy
Quizy
Interia
Top.pl
Jan Kincel
Bez względu na temat, zawsze dokładnie zgłębia sedno i dostarcza treści, które przykuwają uwagę i budzą zainteresowanie czytelnika. Otwarty na nowe wyzwania i gotowy do nauki....
czytaj więcej
Gotowanie
Są nie tylko modne, ale przede wszystkim bardzo zdrowe. Warto jeść je przed snem
Gotowanie
W PRL-u był rarytasem dla dzieci. Teraz okazuje się, że jest dobry na serce
Reklama
Pobierz aplikację POMPONIK. Kliknij!
Polub nas na Facebooku!
Ciekawostki
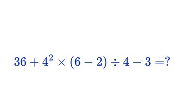
Niby proste, a prawie każdy się myli. Jak szybko podasz właściwy wynik?
Porady
Polacy rzadko sięgają po te orzechy. To błąd, bo są skarbnicą zdrowia
Porady
Regularnie kupujesz to mięso? To prosta droga do miażdżycy i zawału
Gotowanie
Zamiast do rosołu, wrzuć do słoika. Ukiś i ciesz się zdrowiem przez całą zimę
Porady
Dzięki tej miksturze szafki kuchenne będą lśniły. Niszczy tłuszcz w kilka minut
Ciekawostki
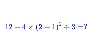
Najbystrzejsi podają wynik w kilka sekund. Dasz radę do nich dołączyć?
Porady
Chcesz przyciągnąć ptaki do karmnika? Koniecznie wrzuć to do środka
Gotowanie
Przepis na idealne kruche ciasto. Pamiętaj o 2 kwestiach, a zaskoczysz gości
Gotowanie
Obniża cholesterol i zapobiega zakrzepicy. Przeciętny Polak je zbyt rzadko
Gotowanie
Są lepsze niż płatki owsiane, a mało kto je kupuje. Czyszczą jelita i wspomagają metabolizm
Ciekawostki
Licealiści rozwiązują bez problemu, internauci się głowią. Jak szybko podasz wynik?
Finanse
Zamiast zwykłej jarzynowej, na sylwestra robię sałatkę papieską. Pierwsza znika ze stołu
Porady
Te owoce zwykle zostają na świątecznym stole, a szkoda. Wspierają serce i jelita
Ciekawostki
Zagadka z 10 rozgrzewa internet do czerwoności. Potrafisz to wyliczyć?