Reklama
Ciekawostki
Finanse
Podróże
Styl życia
Dom i wnętrze
Ogród
Gotowanie
Porady
Horoskopy
Quizy
Więcej
Ciekawostki
Finanse
Podróże
Styl życia
Dom i wnętrze
Ogród
Gotowanie
Porady
Horoskopy
Quizy
Interia
Top.pl
Ciekawostki
Ciekawostki
Ciekawostki
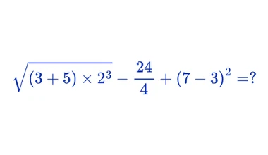
Potrafisz podać poprawny wynik? To oznacza, że masz wysokie IQ
Ciekawostki
Tylko geniusze rozwiążą to działanie bez kalkulatora. Dasz radę w minutę?
Reklama
Pobierz aplikację POMPONIK. Kliknij!
Polub nas na Facebooku!
Ciekawostki
Arcytrudna zagadka matematyczna. Większość internautów popełnia ten sam błąd
Ciekawostki
Ta zagadka jest dla prawdziwych matematycznych orłów. Niewiele osób podaje poprawny wynik
Ciekawostki
Ta zagadka podzieliła internautów. Poprawny wynik to rzadkość
Ciekawostki
To zadanie pojawiło się w tym roku na maturze z matematyki. Dasz radę je rozwiązać?
Ciekawostki
To działanie rozwiązują tylko matematyczni geniusze. W jednym miejscu większość popełnia błąd
Ciekawostki
Ta zagadka matematyczna wygląda groźnie. Niewielu internautów podaje prawidłowy wynik
Ciekawostki
Szybki test na IQ. Tylko bystrzak wskaże, który kwiatek jest inny
Ciekawostki
Niby proste, a większość ma problem. Wystarczy 1 szkolna regułka, by podać wynik
Ciekawostki
To chyba najtrudniejsza zagadka w internecie. Mało kto podaje dobry wynik
Ciekawostki
Ile kwadratów widzisz na zdjęciu? Tylko geniusz poda prawidłową odpowiedź
Ciekawostki
Najbystrzejsi wyliczą w kilka sekund. Ile czasu potrzebujesz, by podać wynik?
Ciekawostki
Szybka rozgrzewka dla mózgu. Najlepsi podają wynik w 10 sekund
Ciekawostki
Jak szybko obliczysz w pamięci? Najlepszym wystarczy 15 sekund
Ciekawostki
Ta zagadka rozgrzała internet do czerwoności. Tylko osoby z wysokim IQ ją rozwiążą