Reklama
Ciekawostki
Finanse
Podróże
Styl życia
Dom i wnętrze
Ogród
Gotowanie
Porady
Horoskopy
Quizy
Więcej
Ciekawostki
Finanse
Podróże
Styl życia
Dom i wnętrze
Ogród
Gotowanie
Porady
Horoskopy
Quizy
Interia
Top.pl
Jan Kincel
Bez względu na temat, zawsze dokładnie zgłębia sedno i dostarcza treści, które przykuwają uwagę i budzą zainteresowanie czytelnika. Otwarty na nowe wyzwania i gotowy do nauki....
czytaj więcej
Podróże
Tu Polacy chcą spędzić jesień. Nie tak upalnie, jak w wakacje i przystępnie cenowo
Gotowanie
Przyjaciółka poczęstowała mnie tą zupą. Bosko smakuje, a do tego oczyszcza organizm
Reklama
Pobierz aplikację POMPONIK. Kliknij!
Polub nas na Facebooku!
Porady
Tak pozbędziesz się zapachu cebuli z rąk bez mydła. Wystarczy zwykła łyżka
Podróże
Oto najbardziej zatłoczone plaże w Europie. Introwertycy na nich nie wypoczną
Finanse
ZUS wypłaci pieniądze tym seniorom. Złożyłeś już wniosek?
Ogród
Sypiesz sodę pod hortensje, by lepiej kwitły? Sprawdź, co myśli o tym ogrodnik
Gotowanie
Koncertowo obniża cholesterol. Wystarczy szczypta dziennie do posiłku
Finanse
Uważaj na takie wiadomości. ZUS wydał oświadczenie, bo wciąż ich przybywa
Gotowanie
Pomidory też możesz włożyć do słoików. W takiej formie będziesz jeść całą zimę
Ciekawostki
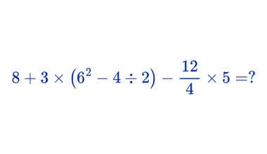
To równanie rozłoży cię na łopatki. Internauci nie mają pojęcia, jak je rozwiązać
Gotowanie
Okropnie śmierdzi, ale to skarbnica zdrowia. W Polsce mało kto odważy się spróbować
Ogród
Gdy storczyk przekwitnie, przytnij go dokładnie w tym miejscu. Obsypie się pąkami
Podróże
Ostatni tydzień, by zobaczyć tę atrakcję w Trójmieście. Turyści przyjeżdżają z całej Polski
Finanse
Listonosz przynosi ci emeryturę? Szykuj się na wyższe opłaty
Porady
Wszyscy zachwycają się jagodami goji, a prawdziwe superfoods rośnie w ogródku babci
Podróże
To tu Polacy spędzą długi weekend. Tanie loty zamiast zatłoczonego Zakopanego