Reklama
Ciekawostki
Finanse
Podróże
Styl życia
Dom i wnętrze
Ogród
Gotowanie
Porady
Horoskopy
Quizy
Więcej
Ciekawostki
Finanse
Podróże
Styl życia
Dom i wnętrze
Ogród
Gotowanie
Porady
Horoskopy
Quizy
Interia
Top.pl
Ciekawostki
Ciekawostki
Ciekawostki
Zagadka na spostrzegawczość. Który Mikołaj jest inny od reszty?
Ciekawostki
Jeśli policzysz to bez błędu, masz lepszą koncentrację niż 90 proc. internautów
Reklama
Pobierz aplikację POMPONIK. Kliknij!
Polub nas na Facebooku!
Ciekawostki
Zaledwie 1 na 8 osób podaje dobry wynik. Sprawdź, czy jesteś w tej grupie
Ciekawostki
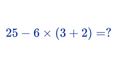
Proste działanie, na którym polega 9 na 10 osób. Prawie każdy popełnia identyczny błąd
Ciekawostki
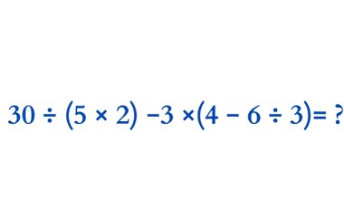
Jedno działanie, dwa nawiasy i sporo błędów. Sprawdź, czy unikniesz pomyłki
Ciekawostki
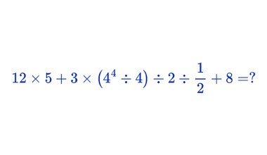
To proste działanie potrafi wyprowadzić z równowagi. Większość myli się już w pierwszym kroku
Ciekawostki
Młodzi nie znają tego święta. Kiedyś obchodzono je bardzo hucznie
Ciekawostki
Tego nigdy nie wkładaj do karmnika. Tylko zaszkodzisz ptakom
Ciekawostki
Czy zima będzie mroźna i śnieżna? Meteorolodzy mówią jasno
Ciekawostki
Zagadka dla matematycznych bystrzaków. Rozwiążesz w 10 sekund?
Ciekawostki
Dzieci w podstawówce rozwiązują z zamkniętymi oczami. Dasz radę w 7 sekund?
Ciekawostki
To pozornie łatwe działanie znów wywołało burzę w sieci. Potrafisz policzyć je poprawnie bez kalkulatora?
Ciekawostki
To zadanie z podstawówki sprawia problem dorosłym. Popełniają ten sam błąd
Ciekawostki
Internet oszalał przez to jedno działanie. Spróbujesz je policzyć bez pomyłki?
Ciekawostki
Działanie z siódemkami pokonuje internautów. Poprawny wynik to rzadkość
Ciekawostki
To matematyczne wyzwanie frustruje tysiące ludzi. Myślisz, że rozwiążesz je bez błędu