Reklama
Ciekawostki
Finanse
Podróże
Styl życia
Dom i wnętrze
Ogród
Gotowanie
Porady
Horoskopy
Quizy
Więcej
Ciekawostki
Finanse
Podróże
Styl życia
Dom i wnętrze
Ogród
Gotowanie
Porady
Horoskopy
Quizy
Interia
Top.pl
Ciekawostki
Ciekawostki
Ciekawostki
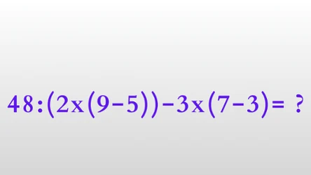
Tylko garstka osób rozwiązała to poprawnie. Widzisz błąd, którego nie zauważyli inni?
Ciekawostki
To zadanie pojawiło się na sprawdzianie w trzeciej klasie podstawówki. Rozwiążesz w 30 sekund?
Reklama
Pobierz aplikację POMPONIK. Kliknij!
Polub nas na Facebooku!
Ciekawostki
8 na 10 dorosłych ponosi klęskę na tym zadaniu. Uczniowie rozwiązują bez wahania
Ciekawostki
Z pozoru banalne działanie, które myli nawet dorosłych. Sprawdź, czy dasz radę bez kalkulatora
Ciekawostki
Szybki test logiczny, który obnaża brak koncentracji. Spróbujesz?
Ciekawostki
Wszyscy mówią, że proste, a podają zły wynik. Udaje się tylko najlepszym
Ciekawostki
Szkolne zadanie z haczykiem jest hitem. Tylko 1 na 10 osób potrafi je rozwiązać
Ciekawostki
Jedno z najprostszych działań świata, a większość się myli. Zobacz, dlaczego
Ciekawostki
To działanie jest pełne pułapek. Większość osób myli się już na początku
Ciekawostki
Dzieci rozwiązują z zamkniętymi oczami. Jeśli jesteś bystry, wystarczy ci 15 sekund
Ciekawostki
Z pozoru proste równanie rozgrzewa internet do czerwoności. Sprawdź, czy ty też popełnisz błąd
Ciekawostki
Jak szybko wyliczysz w pamięci? Najlepszym wystarcza 10 sekund
Ciekawostki
Szkolne zadanie, które stało się hitem. Rozwiązuje je tylko co trzeci dorosły
Ciekawostki
Niemożliwe do rozwiązania bez kalkulatora? Dasz radę, jeśli że znasz pewien sposób
Ciekawostki
Dokładnie wtedy spójrz w niebo. Zobaczysz deszcz najpiękniejszych meteorów
Ciekawostki
Bez kalkulatora nie ogarniesz. Nawet najlepsi gubią się w tym jednym miejscu