Reklama
Ciekawostki
Finanse
Podróże
Styl życia
Dom i wnętrze
Ogród
Gotowanie
Porady
Horoskopy
Quizy
Więcej
Ciekawostki
Finanse
Podróże
Styl życia
Dom i wnętrze
Ogród
Gotowanie
Porady
Horoskopy
Quizy
Interia
Top.pl
Ciekawostki
Ciekawostki
Ciekawostki
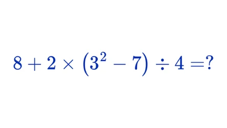
Zagadka dla matematycznych orłów. Jeśli nie uważałeś w szkole, nie masz szans
Ciekawostki
Chodziłeś na wagary na matematyce? Nie dasz rady rozwiązać tej zagadki
Reklama
Pobierz aplikację POMPONIK. Kliknij!
Polub nas na Facebooku!
Ciekawostki
Wybierz najpiękniejsze polskie kolędy i piosenki świąteczne i stwórz rodzinną playlistę na Wigilię
Ciekawostki
4 prezenty są inne niż wszystkie. Ile czasu potrzebujesz, żeby je znaleźć?
Ciekawostki
Idealna zagadka na ponury dzień. Pobudź szare komórki do działania
Ciekawostki
Działanie matematyczne dla ludzi z wysokim IQ. Poniżej 128 nawet nie próbuj
Ciekawostki
Zadanie z podręcznika do matematyki z lat 70. Uda ci się je rozwiązać?
Ciekawostki
Takie zadania rozwiązywali polscy uczniowie 100 lat temu. Podasz dobry wynik?
Ciekawostki
Znajdziesz wszystkie bałwany w 60 sekund? To zagadka dla osób z sokolim wzrokiem
Ciekawostki
To zadanie wprowadza większość internautów w błąd. Trzeba się mocno skupić
Ciekawostki
Wydaje się proste, ale wielu osobom umyka jeden szczegół. Podasz prawidłową odpowiedź?
Ciekawostki
To zadanie jest koszmarem licealistów. Dasz sobie z nim radę?
Ciekawostki
Zagadka z podstawówki. A jednak dorośli mają problem z jej rozwiązaniem
Ciekawostki
Wydaje się proste, ale sprawia wiele kłopotów. Rozwiążesz poprawnie?
Ciekawostki
Tylko geniusze rozwiążą to działanie bez kalkulatora. Dasz radę w 15 sekund?
Ciekawostki
Z pozoru prosta zagadka matematyczna. Rozwiążą ją tylko najbystrzejsi