Reklama
Ciekawostki
Finanse
Podróże
Styl życia
Dom i wnętrze
Ogród
Gotowanie
Porady
Horoskopy
Quizy
Więcej
Ciekawostki
Finanse
Podróże
Styl życia
Dom i wnętrze
Ogród
Gotowanie
Porady
Horoskopy
Quizy
Interia
Top.pl
Agnieszka Sabat
Ukończyła studia dziennikarskie oraz zarządzanie reklamą. Od dziecka zakochana w żużlu i książkach. Lubi zadawać wiele pytań, więc żaden temat nie jest jej straszny, ponieważ...
czytaj więcej
Porady
Mój sekretny sposób na mycie luster. Wszystko czego potrzebuję, mam w kuchni
Styl życia
Te buty odmienią każdą świąteczną stylizację. Musisz je mieć
Reklama
Pobierz aplikację POMPONIK. Kliknij!
Polub nas na Facebooku!
Dom i wnętrze
Ten niepozorny element całkowicie odmieni wystrój. Jak go dopasować do wnętrz?
Ciekawostki
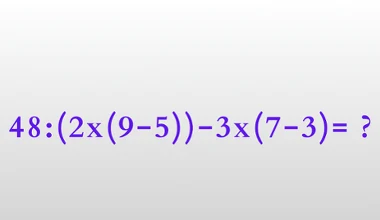
Wydawałoby się, że to proste działanie. Mało kto ze znajomych podał dobry wynik
Porady
Namocz w tym firanki. Będą śnieżnobiałe przez długie tygodnie
Gotowanie
Sąsiadka zdradziła mi sposób na idealnie czerwony barszcz. Dzięki temu zupa wygląda jak z restauracji
Podróże
Tę wieżę w koronach drzew odwiedzisz za darmo. Wspaniałe widoki gwarantowane
Styl życia
Weź z kuchni i natrzyj paznokcie. Pozbędziesz się przebarwień
Styl życia
Eleganckie życzenia na święta. Idealne na kartki świąteczne i dla pracowników
Styl życia
Te fryzury zachwycą podczas świąt. Zrobisz je w 10 minut
Porady
Ten odświeżacz powietrza wprowadza w świąteczny klimat. Zrobisz go w kilka chwil
Styl życia
Na święta kup jej bransoletkę z tym kamieniem. Pięknie wygląda i ma ważną funkcję
Porady
Moja babcia tak pierze firanki na święta. Są śnieżnobiałe i pachnące
Ogród
To ostatni moment, by zadbać o piwonie. Zrób to, inaczej wiosną nie zakwitną
Podróże
Tu spotkasz największego Mikołaja na świecie. W Europie, ale wcale nie w Laponii
Ciekawostki
Policzysz to bez kalkulatora? Uważaj, bo łatwo o błąd