Reklama
Ciekawostki
Finanse
Podróże
Styl życia
Dom i wnętrze
Ogród
Gotowanie
Porady
Horoskopy
Quizy
Więcej
Ciekawostki
Finanse
Podróże
Styl życia
Dom i wnętrze
Ogród
Gotowanie
Porady
Horoskopy
Quizy
Interia
Top.pl
Ciekawostki
Ciekawostki
Ciekawostki
To łamigłówka dla przedszkolaków. Wielu dorosłych ma problem, żeby ją rozwiązać
Ciekawostki
Łamigłówka, która oszukuje wzrok. Ile belek jest na obrazku?
Reklama
Pobierz aplikację POMPONIK. Kliknij!
Polub nas na Facebooku!
Ciekawostki
Trudna zagadka na inteligencję. Masz 15 sekund na odgadnięcie schematu
Ciekawostki
Pomnóż wszystkie cyfry na klawiaturze telefonu. Jaki wynik otrzymasz?
Ciekawostki
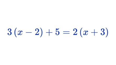
Zadanie z podstawówki podzieliło internautów. Ułożysz poprawne równanie?
Ciekawostki
Nawet studenci matematyki mają problem z rozwiązaniem tej zagadki. Uda ci się w 15 sekund?
Ciekawostki
Łamigłówka matematyczna dla dzieci. Odpowiedź jest niezwykle podchwytliwa
Ciekawostki
Tysiące internautów próbowały rozwiązać tę zagadkę. Dasz radę w 10 sekund?
Ciekawostki
Znajdziesz wszystkie jabłka ukryte wśród liści? Masz 60 sekund
Ciekawostki
Znajdź literówkę w słowie TOP. Ta zagadka jest trudniejsza niż się wydaje
Ciekawostki
Obliczysz to w pamięci? Wszyscy mówią, że banał, a podają zły wynik
Ciekawostki
Zagadka z kropkami załamała internautów. Tylko nieliczni znajdą rozwiązanie
Ciekawostki
Zagadka tylko dla osób z sokolim wzrokiem. Uda ci się znaleźć ołówki między książkami?
Ciekawostki
Szybki test na inteligencję. Z zapałkami radzą sobie tylko najlepsi
Ciekawostki
Tej zagadki nie rozwiążesz w kilka sekund. Większość osób robi ten sam błąd
Ciekawostki
Zagadka nie tylko dla ogrodników. Znajdź inne jabłko w 10 sekund