Reklama
Reklama

​Ta zagadka wciągnie twój umysł. Potrafisz ją poprawnie rozwiązać?

Czy pamiętasz szkolne lekcje matematyki i zasady kolejności wykonywania działań? Ta zagadka to świetny test na logiczne myślenie i uważność. W dodatku wielu internautów się w niej myli. Sprawdź, czy jesteś w stanie podać prawidłowy wynik tej zagadki matematycznej, która wciągnie twój umysł.

Naprawdę warto wykonywać działania matematyczne

Wykonywanie działań matematycznych jest korzystne dla mózgu, ponieważ angażuje różne obszary, odpowiedzialne za myślenie analityczne, rozwiązywanie problemów i pamięć. Przede wszystkim angażuje korę przedczołową, która jest odpowiedzialna za myślenie logiczne oraz hipokamp — który jest związany z pamięcią. Po drugie matematyka uczy identyfikowania wzorców, przewidywania i wyciągania wniosków, co wspiera rozwój logicznego myślenia. Nie można również zapominać o tym, że rozwiązywanie działań matematycznych poprawia koncentrację, pozwala ćwiczyć pamięć roboczą, a w niektórych przypadkach nawet... redukuje stres.

Sprawdź również: W tym działaniu łatwo popełnić błąd. Musisz zachować pełne skupienie

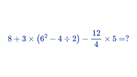
Zagadka matematyczna, która wciągnie twój umysł. Podasz prawidłowy wynik?

Tego działania nie rozwiążemy (a przynajmniej nie poprawnie) bez znajomości kolejności wykonywania działań. Zgodnie z nią zaczynamy od nawiasu. W tym przypadku mamy potęgowanie, odejmowanie i dzielenie, więc:

  1. Podnosimy 6 do potęgi 2, co daje nam 36.
  2. Następnie dzielimy 4 przez 2 i otrzymujemy 2.
  3. Na koniec odejmujemy: 36 - 2 = 34.

Po tych działaniach nasze wyrażenie wygląda tak: 8 + 3 × 34 - 12 / 4 × 5. Pierwsze mnożenie to: 3 × 34 = 102. Następnie przechodzimy do dzielenia i mnożenia w takiej kolejności:

  1. 12 / 4 = 3
  2. 3 × 5 = 15

Pozostało nam już tylko dodawanie i odejmowanie: 8 + 102 - 15. Wykonujemy je od lewej do prawej strony:

  1. 8 + 102 = 110
  2. 110 - 15 = 95

Tak więc prawidłowe rozwiązanie tej zagadki matematycznej, która wciągnie twój umysł to 95.

Zobacz też:

​Znasz kolejność działań? Udowodnij! Większość internautów nie daje rady

​Najszybszym wystarcza kilka sekund. Ile czasu potrzebujesz, by to wyliczyć?

Obliczysz to w pamięci? Poprawny wynik podaje mniej niż połowa osób

INTERIA.PL
Dowiedz się więcej na temat: matematyka