matematyka
- Wszystkie (414)
- Artykuły (414)
Artykuły (414)
-
Zagadka matematyczna z ósemkami. Jak szybko podasz rozwiązanie?
- Piątek, 20 marca (17:32)
W teorii to proste działanie matematyczne nie powinno sprawić większych trudności. Jednak w praktyce wielu osób popełnia błąd już na etapie pierwszych obliczeń. Wszystko przez jedną,...matematyka -
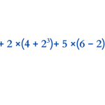
To działanie z podstawówki podzieliło Internet. Dasz radę je rozwiązać?
- Piątek, 20 marca (10:54)
Zagadki, które na pierwszy rzut oka wydają się niewinne, często wywołują gorące dyskusje, zaskoczenie i błędne odpowiedzi. Tak jest również w przypadku tego działania, które wygląda jak...matematyka -
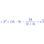
To zadanie powinno rozwiązać nawet dziecko. Jednak co 9 dorosły się myli
- Czwartek, 19 marca (11:48)
Na pierwszy rzut oka wygląda banalnie, ale potrafi wywołać prawdziwą burzę w komentarzach. Jedno krótkie działanie matematyczne dzieli internautów, bo jedni są pewni swojego wyniku, a...matematyka -
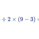
Nawet nauczyciele nie są zgodni, co do rozwiązania. Podasz prawidłowy wynik bez kalkulatora?
- Wtorek, 17 marca (12:32)
Jedno krótkie działanie matematyczne potrafi wywołać gorącą dyskusję. Choć wygląda banalnie, wiele osób podaje różne odpowiedzi. Czy należysz do tych, którzy rozwiążą je bez wahania?...matematyka -
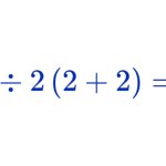
Nawias zmienia wszystko. Czy wiesz, jaki jest wynik tego działania?
- Niedziela, 15 marca (15:54)
Na pierwszy rzut oka to działanie wygląda dość banalnie. Kilka liczb, jedno odejmowanie, mnożenie i nawias to poziom szkoły podstawowej. Jednak takie zadania regularnie wywołują gorące...matematyka




