Każdy z nas kiedyś uczył się w szkole zasad kolejności wykonywania działań. Czy pamiętasz je dziś? W tej zagadce kryje się wszystko: nawiasy, pierwiastki, potęgi, mnożenie i dzielenie.
Kolejność wykonywania zadań to fundament. Pamiętasz z podstawówki?
Już w pierwszych latach szkoły podstawowej dzieci uczone są kolejności wykonywania działań. Dzięki tej wiedzy nawet z pozoru trudne działania można rozłożyć na czynniki pierwsze i łatwo rozwiązać. Jak brzmi ta zasada? Otóż w pierwszej kolejności obliczamy działania w nawiasach, następnie przechodzimy do pierwiastkowania i potęgowania, następnie obliczamy dzielenie i mnożenie (od lewej do prawej strony), a na końcu liczymy dodawanie i odejmowanie (także od lewej do prawej strony). Po tej małej powtórce można zabrać się do liczenia.
Sprawdź również: Prawie każdy popełnia błąd. Podasz prawidłowy wynik?
Jak rozwiązać tę zagadkę matematyczną bez kalkulatora?
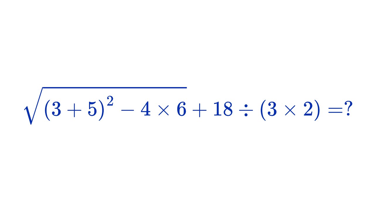
Najpierw musimy rozprawić się z nawiasem: 3 + 5 = 8. Całe wyrażenie przyjmuje więc postać pierwiastka z liczby osiem podniesionej do kwadratu, od której trzeba odjąć 4 × 6. Kwadrat liczby osiem to 64, a 4 × 6 = 24. Otrzymujemy więc pierwiastek z 40.
W drugiej części działania widać dzielenie i mnożenie: 18 / (3 × 2). Kluczem jest nawias, bo łatwo o pomyłkę, jeśli ktoś zapomni, że najpierw liczymy mnożenie. Wtedy zamiast właściwego wyniku trzy, otrzyma coś zupełnie innego.
Wracamy do pierwiastka: pierwiastek z czterdziestu to nie liczba całkowita, możemy go zapisać w przybliżeniu (6,32), ale zgodnie ze sztuką matematyczną powinniśmy go skrócić i zostawić z pierwiastkiem, co w tym przypadku oznacza zapis 2 pierwiastki z 10. Po obliczeniu prawej strony zostaje nam 3, więc końcowy wynik tej zagadki matematycznej to 2 pierwiastki z 10 plus 3. Udało ci się?


