Reklama
Ciekawostki
Finanse
Podróże
Styl życia
Dom i wnętrze
Ogród
Gotowanie
Porady
Horoskopy
Quizy
Więcej
Ciekawostki
Finanse
Podróże
Styl życia
Dom i wnętrze
Ogród
Gotowanie
Porady
Horoskopy
Quizy
Interia
Top.pl
Ciekawostki
Ciekawostki
Ciekawostki
Ile cyfr widzisz na zdjęciu? Prawie nikt nie podaje właściwej odpowiedzi
Ciekawostki
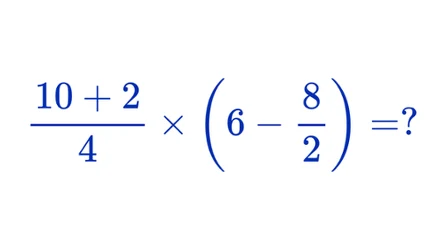
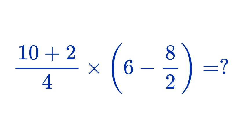
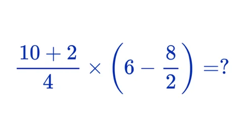
Wydaje się niemożliwe. Dasz radę rozwiązać to działanie bez kalkulatora?
Reklama
Pobierz aplikację POMPONIK. Kliknij!
Polub nas na Facebooku!
Ciekawostki
Tę zagadkę rozwiążą tylko orły z matematyki. Jak z trzech zer zrobić szóstkę?
Ciekawostki
To jest zagadka dla czwartej klasy podstawówki. Mało kto jest w stanie podać dobry wynik
Ciekawostki
Rekiny w Bałtyku mają trzy metry i wagę 200 kg. Czy są niebezpieczne?
Ciekawostki
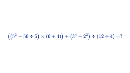
Zadanie z olimpiady matematycznej w Luksemburgu. Znasz wynik tego działania?
Ciekawostki
Fioletowy grzyb niesłusznie pomijany przez grzybiarzy. Do czego można go wykorzystać?
Ciekawostki
Zagadka z podstawówki, którą bez kalkulatora rozwiąże tylko jedna na dziesięć osób
Ciekawostki
Podchwytliwa zagadka prosto z olimpiady matematycznej. Co jest większe?
Ciekawostki
To działanie podzieliło internet. Niewiele osób da radę podać wynik z pamięci
Ciekawostki
Tej nocy puszcza się wianki i szuka kwiatu paproci. Wiele osób myli jej datę
Ciekawostki
Zwróć uwagę na te znaki podczas rozmowy. Świadczą o ponadprzeciętnej inteligencji
Ciekawostki
Co zjada kleszcze? Kleszcze też mają naturalnych wrogów
Ciekawostki
Ten test osobowości pokaże, jakimi osobami się otaczasz. Którego motyla wybierasz?
Ciekawostki
Miliony internautów próbowały rozwiązać to działanie, jednak niewielu się udało
Ciekawostki
Tylko osoby z IQ wyższym niż 110 rozwiążą tę zagadkę. Jesteś w tej grupie?