Dlaczego większość osób popełnia błąd?
Działanie wygląda na pozornie proste, jednak wiele osób wpada w pułapkę, ignorując podstawowe zasady matematyczne. Kluczowe w tym zadaniu jest zastosowanie reguł kolejności wykonywania działań. To wiedz z podstawówki, zgodnie z którą najpierw wykonujemy działania w nawiasach, następnie pierwiastkowanie lub potęgowanie, w dalszej kolejności dzielenie lub mnożenie (od lewej do prawej strony), a na końcu dodawanie lub odejmowanie (również od lewej do prawej strony). Często popełniany błąd wynika z tego, że ludzie wykonują działania w kolejności, w jakiej je widzą, zamiast stosować reguły. Dlatego odpowiedź jest inna, niż można by się spodziewać na pierwszy rzut oka.
Sprawdź również: Powinieneś rozwiązać tę zagadkę w 2 sekundy z zawiązanymi oczami. Wiele osób popełnia błąd
Zadanie matematyczne dla geniuszy — rozwiązanie krok po kroku
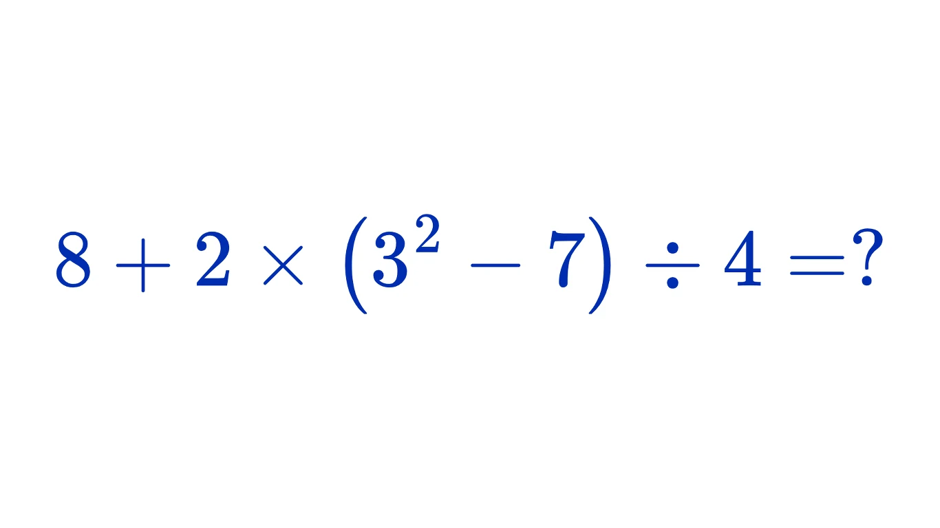
Przeanalizujmy zadanie: 8 + 2 × (3^2 − 7) / 4. Zgodnie z kolejnością wykonywania działań zaczynamy od nawiasu, a w nim od potęgowania: 3^2 = 9. Następnie odejmujemy 9 - 7 = 2. Po opuszczeniu nawiasu nasze wyrażenie wygląda następująco: 8 + 2 × 2 / 4. Mamy tu mnożenie i dzielenie, które wykonujemy od lewej do prawej strony:
- 2 × 2 = 4
- 4 / 4 = 1
Po tych obliczeniach pozostało nam jedynie dodawanie 8 + 1 = 9. Poprawna odpowiedź to 9!
Sprawdź również: Z pozoru proste równanie podzieliło internet. Połowa podaje zły wynik
Sprawdź, czy jesteś wśród geniuszy
Zaskoczyło Cię to rozwiązanie? Jeśli odpowiedziałeś poprawnie, możesz śmiało pochwalić się swoimi umiejętnościami matematycznymi. A jeśli nie - to nic straconego! Warto odświeżyć wiedzę z matematyki i przypomnieć sobie zasady kolejności działań. To proste ćwiczenie pokazuje, jak łatwo wpaść w pułapkę i jak ważna jest dokładność oraz znajomość podstawowych reguł.


