Reklama
Reklama

To banalne działanie matematyczne potrafi zmylić. Ma jeden haczyk

Z pozoru proste działanie matematyczne potrafi okazać się podchwytliwe. Choć może się wydawać, że znamy poprawny wynik, łatwo o pomyłkę, jeśli damy się złapać na sprytnie ukryty „haczyk”. Czasem winne są pośpiech i nieuwaga, jednak nierzadko źródło błędu leży zupełnie gdzie indziej. Wyjaśniamy, jak prawidłowo rozwiązać to zadanie i jaki wynik jest właściwy.

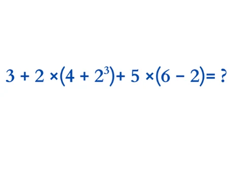
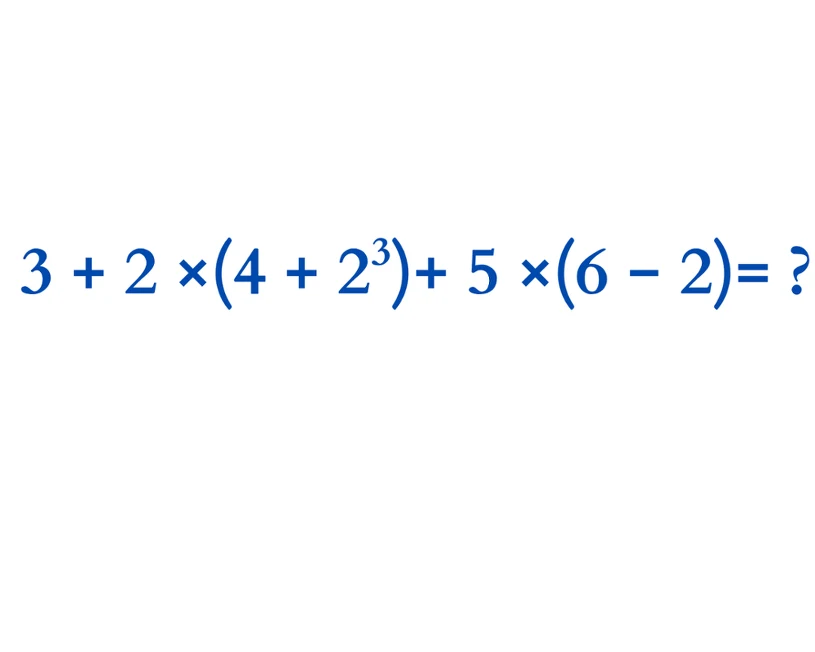
Na pierwszy rzut oka działanie 3 + 2 × (4 + 2^3) + 5 × (6 − 2) wygląda dość łatwo. Jest to jedynie kilka nawiasów, trochę mnożenia, dodawania i jedna potęga. Może jednak okazać się, że przez pewną pomyłkę uzyskamy zły wynik. Podpowiadamy, jak prawidłowo je rozwiązać.

Jak rozwiązywać działania, żeby nie dać się złapać w pułapkę? Kolejność wykonywania działań

Kluczem do sukcesu, rozwiązując działania, takie jak powyższe, jest pamiętanie o podstawowych zasadach kierujących matematyką. Jedną z nich jest kolejność wykonywania działań. To właśnie ona wpływa na to, czy uzyskamy prawidłowy wynik. Choć na pierwszy rzut oka proste wyrażenie może wydawać się oczywiste, to właśnie kolejność obliczeń decyduje o poprawnym wyniku.

Najczęstszą pułapką jest więc wykonywanie działań w takiej kolejności, w jakiej je widzimy, zamiast stosować ustalone zasady. Tymczasem istnieje ściśle określona hierarchia działań, której należy przestrzegać. W pierwszej kolejności zawsze rozwiązujemy działania znajdujące się w nawiasach, ponieważ to one mają najwyższy priorytet. Dzięki temu najpierw upraszczamy fragmenty, które są wyodrębnione, a dopiero potem przechodzimy dalej.

Po nawiasach wykonuje się potęgowanie i pierwiastkowanie. Następnie wykonujemy mnożenie i dzielenie, a z racji tego, że te dwa działania mają równy priorytet, więc obliczamy je od lewej do prawej strony, wykonując je w kolejności występowania. Na samym końcu pozostaje dodawanie i odejmowanie, które również traktujemy na równi i wykonujemy kolejno od lewej.

Czytaj również: Wystarczy 10 sekund, żeby podać wynik. Wiele osób popełnia jednak błąd

Co zrobić, by prawidłowo rozwiązać to działanie? To prostsze niż myślisz

Chcąc uzyskać prawidłowy wynik działania 3+2× (4+2^3) +5× (6−2), musimy zastosować wspomnianą kolejność wykonywania działań. Wobec tego najpierw obliczamy działanie w nawiasie, czyli 4 + 2^3. Zaczynamy od potęgowania, ponieważ ma ono pierwszeństwo, więc 2^3 = 8, a następnie dodajemy 4 + 8 = 12.

Teraz całe wyrażenie wygląda tak: 3+2 × 12+5 × (6−2). Następnie obliczamy nawias, czyli 6−2 = 4, więc mamy 3+2 × 12+5 × 4. Wykonujemy mnożenia: 2 × 12 = 24 oraz 5 × 4 = 20. Otrzymujemy więc 3 + 24 + 20. Na końcu dodajemy te liczby: 3 + 24 = 27 i 27 + 20 = 47. Ostateczny wynik to 47.

Zobacz też:

​Jeśli policzysz to bez błędu, masz lepszą koncentrację niż 90 proc. internautów

​Zaledwie 1 na 8 osób podaje dobry wynik. Sprawdź, czy jesteś w tej grupie

Proste działanie, na którym polega 9 na 10 osób. Prawie każdy popełnia identyczny błąd

INTERIA.PL
Dowiedz się więcej na temat: matematyka