Reklama
Reklama

​Proste działanie, a tyle pomyłek. Sprawdź, czy znasz kolejność wykonywania działań

Na pierwszy rzut oka wygląda banalnie, ale w praktyce wiele osób podaje zły wynik. To krótkie działanie matematyczne pokazuje, jak łatwo zapomnieć o podstawowych zasadach liczenia. Sprawdź, czy potrafisz je rozwiązać poprawnie i czy pamiętasz kolejność wykonywania działań.

W internecie ogromną popularnością cieszą się krótkie łamigłówki matematyczne. Choć wyglądają niewinnie, często potrafią skutecznie zmylić nawet dorosłych.

To nie tylko zwykłe działanie. To super-trening dla mózgu

Zagadki matematyczne od lat podbijają media społecznościowe i portale internetowe. Ich popularność wynika z prostoty. Wystarczy jedno działanie, aby sprawdzić swoją spostrzegawczość i logiczne myślenie. W rzeczywistości jednak wiele osób zapomina o podstawowej zasadzie matematyki, czyli o kolejności wykonywania działań. W szkolnej matematyce obowiązuje jasna reguła. Najpierw wykonujemy działania w nawiasach, następnie potęgowanie i pierwiastkowanie, potem mnożenie i dzielenie, a dopiero na końcu dodawanie i odejmowanie. W praktyce oznacza to, że nie zawsze liczymy od lewej do prawej.

Sprawdź również: Większość osób podaje złe rozwiązanie. Wiesz, co wstawić w kwadraty?

Proste zadanie matematyczne — rozwiązanie krok po kroku

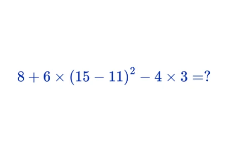
Stosując zasady kolejności działań, najpierw rozwiązujemy działanie w nawiasie: 15 - 11 = 4. Teraz nasze działanie przyjmuje postać: 8 + 6 × 4^2 - 4 × 3. Przechodzimy do potęgowania, czyli 4^2 = 16. Teraz wyrażenie wygląda tak: 8 + 6 × 16 - 4 × 3. Zgodnie z kolejnością wykonywania działań zaczynamy od mnożenia:

  • 6 × 16 = 96,
  • 4 × 3 = 12.

Po tych obliczeniach nasze działanie wygląda tak: 8 + 96 - 12. Dodawanie i odejmowanie rozwiązujemy od lewej do prawej strony, czyli:

  1. 8 + 96 = 104,
  2. 104 - 12 = 92.

I to jest prawidłowe rozwiązanie tego prostego zadania matematycznego.

Zobacz też:

​Tylko mistrzowie matematyki podadzą poprawny wynik. Jesteś wśród nich?

​Wystarczy jeden błąd i wynik jest zły. Rozwiążesz to matematyczne zadanie?

​Dzieci rozwiązują to bez problemu. Wielu dorosłych popełnia tu błąd

INTERIA.PL
Dowiedz się więcej na temat: matematyka