Reklama
Reklama

​Nie rozwiążesz, jeśli masz poniżej 123 IQ. Zagadka tylko dla błyskotliwych

Internet kocha matematyczne łamigłówki, szczególnie te, które potrafią wywołać burzę w komentarzach. Ta zagadka wygląda na prostą, ale tylko pozornie, bo wielu internautów myli się już na pierwszym kroku. Sprawdź, czy twój umysł poradzi sobie z wyzwaniem, które zyskuje viralową popularność.

Choć zadanie składa się wyłącznie z podstawowych działań, wymaga skupienia i logicznego myślenia. Idealnie sprawdzi, czy potrafisz zachować chłodną głowę tam, gdzie inni się gubią.

Dlaczego warto rozwiązywać zagadki matematyczne?

Matematyczne łamigłówki to nie tylko zabawa, to także świetny trening dla mózgu. Uczą logicznego myślenia, koncentracji oraz szybkiego analizowania informacji, co przydaje się w codziennym życiu. Co więcej, badania pokazują, że regularne rozwiązywanie tego typu zadań może poprawiać pamięć roboczą i zdolność kojarzenia. Krótko mówiąc: im częściej ćwiczysz, tym bardziej "elastyczny" staje się twój umysł.

Sprawdź również: To proste działanie potrafi wyprowadzić z równowagi. Większość myli się już w pierwszym kroku

Zagadka matematyczna dla osób z wysokim IQ. Dasz radę ją rozwiązać?

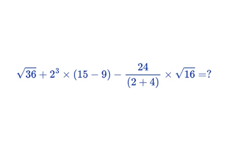
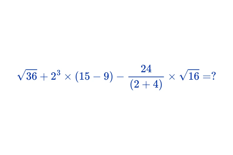
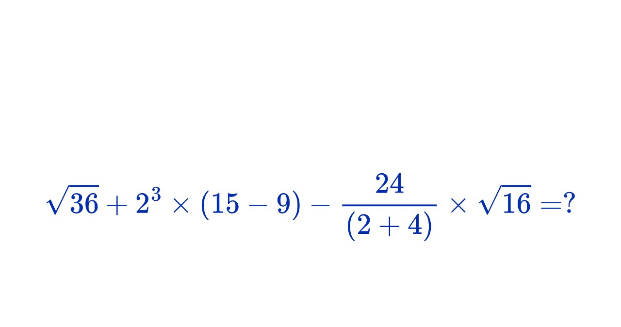
Na pierwszy rzut oka wygląda jak zestaw prostych operacji, ale kluczowa jest tu kolejność wykonywania działań. Wiele osób gubi się między nawiasami, potęgami i iloczynami, wykonując wszystko "na oko". Jeśli będziemy konsekwentni, z pewnością wynik będzie poprawny.

Zaczynamy więc od działania w nawiasie, gdzie znajduje się odejmowanie 15 - 9 = 6. Następnie przechodzimy do pierwiastków i potęg. Pierwiastek z 36 wynosi 6, 2 podniesione do potęgi 3 równa się 8, a pierwiastek z 16 to 4. Możemy także przekształcić ułamek, czyli najpierw obliczamy mianownik (2 + 4 = 6), a następnie dzielimy 2 przez 6 i wychodzi nam 4.

Po tych obliczeniach nasze wyrażenie wygląda następująco: 6 + 8 × 6 - 4 × 4. Zgodnie z kolejnością wykonywania działań przechodzimy do mnożenia:

  • 8 × 6 = 48
  • 4 × 4 = 16

Teraz nasze działanie wygląda tak: 6 + 48 - 16. Rozwiązujemy je od lewej do prawej strony:

  1. 6 + 48 = 54
  2. 54 - 16 = 38

I to jest prawidłowe rozwiązanie tej zagadki matematycznej dla osób z wysokim IQ. Udało ci się ją rozwiązać?

Zobacz też:

​Myślisz, że to proste? To matematyczne działanie zaskakuje wynikiem

Zagadka z szóstkami rozgrzewa Internet do czerwoności. Rozwiążesz na szóstkę?

Ciężko w to uwierzyć, ale wiele osób podaje zły wynik tego działania. Gdzie popełniają błąd?

INTERIA.PL
Dowiedz się więcej na temat: matematyka