Reklama
Reklama

Jedno działanie, kilka pułapek. Ten prosty przykład potrafi zmylić dorosłych

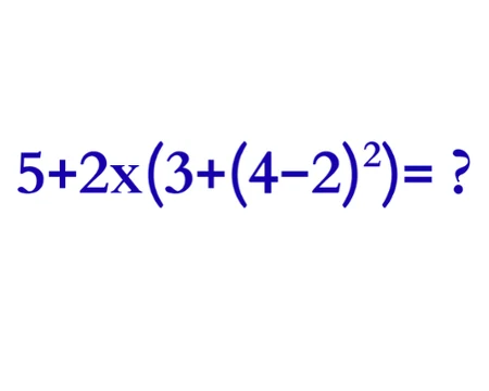
Na pierwszy rzut oka to zwykłe działanie z nawiasem i potęgą. W praktyce wiele osób popełnia przy nim ten sam błąd, zapominając o bardzo ważnej zasadzie. To prosty przykład, który pokazuje, jak łatwo o pomyłkę nawet po latach od zakończenia szkoły. Sprawdź, czy potrafisz go prawidłowo rozwiązać.

W dorosłym życiu rzadko sięgamy po matematyczne zadania, dlatego pewne zasady mogą z czasem nam umknąć. Wystarczy więc chwila nieuwagi, by otrzymać zupełnie inną liczbę niż prawidłowa. Właśnie dlatego warto na moment wrócić do podstaw i sprawdzić, jak krok po kroku rozwiązać to działanie.

Dlaczego powinniśmy sięgać po zagadki matematyczne? Tak rozwiązywanie ich wpływa na mózg

Rozwiązywanie zagadek matematycznych w dorosłym życiu to nie tylko szkolne wspomnienie, ale realne wsparcie dla codziennego funkcjonowania. Systematyczne mierzenie się z działaniami wzmacnia koncentrację, uczy cierpliwości i rozwija umiejętność analitycznego myślenia.

Dzięki temu w codziennym życiu łatwiej podejmujemy decyzje finansowe, planujemy budżet, porównujemy oferty czy analizujemy ryzyko. Matematyczne łamigłówki pobudzają mózg do pracy, poprawiają pamięć i elastyczność myślenia. Uczą także systematyczności oraz szukania rozwiązań krok po kroku, zamiast działania pod wpływem impulsu.

Co więcej, dają satysfakcję z samodzielnego dojścia do poprawnego wyniku, wzmacniając pewność siebie i poczucie sprawczości. To prosty, a jednocześnie skuteczny sposób na utrzymanie umysłu w dobrej formie przez lata.

Jak rozwiązać powyższy przykład? O tym musisz pamiętać

Chcąc rozwiązać przykład 5+2x(3+(4−2)^2) warto zacząć od przypomnienia sobie, czym jest kolejność wykonywania działań. To zbiór zasad, które mówią nam, w jakiej kolejności należy liczyć poszczególne elementy wyrażenia, aby otrzymać poprawny wynik. Najpierw wykonujemy działania w nawiasach, potem potęgi, następnie mnożenie i dzielenie, a na końcu dodawanie i odejmowanie

Przechodząc do obliczeń, zaczynamy od najbardziej wewnętrznego nawiasu. W wyrażeniu (4−2) najpierw wykonujemy odejmowanie, ponieważ znajduje się ono w środku nawiasu. Otrzymujemy 2. Teraz mamy już (2)^2, czyli 2^2. Zgodnie z zasadami kolejności działań potęgowanie wykonujemy przed mnożeniem i dodawaniem. Liczymy więc 2^2, co daje 4.

Czytaj również: Czy potrafisz rozwiązać to proste zadanie? Internauci wciąż się spierają o wynik

Następnie wracamy do większego nawiasu: 3+(4−2)^2 zamienia się w 3+4. To działanie również wykonujemy w nawiasie, dlatego teraz dodajemy 3+4 i otrzymujemy 7. W tym momencie całe wyrażenie w nawiasie zostało uproszczone do liczby 7.

Kolejnym krokiem jest mnożenie. Mnożenie wykonujemy przed dodawaniem, więc obliczamy 2x7, co daje 14. Na końcu pozostaje już tylko dodawanie: 5+14. To ostatni etap, ponieważ dodawanie znajduje się najniżej w hierarchii działań. Po wykonaniu tego kroku otrzymujemy wynik 19.

Zobacz też:

To nie zagadka, tylko pułapka. Rozwiąż i sprawdź, czy jesteś mistrzem łamigłówek

Banalna zagadka, na której poległ niejeden prymus. Sprawdź swoje siły

Matematyczna pułapka z piątkami. Spróbuj ją rozgryźć

INTERIA.PL
Dowiedz się więcej na temat: matematyka