Mogłoby się wydawać, że to zwykłe działanie, które można rozwiązać w kilka sekund. Okazuje się jednak, że wielu osobom sprawia ono sporo trudność. Wynika to często z pośpiechu lub braku zastosowania pewnej zasady matematycznej. Podpowiadamy, jak rozwiązać to działanie.
Przypomnij sobie tę zasadę, a rozwiążesz przykład w kilka sekund. Co musisz zrobić?
Chcąc sprawnie rozwiązać tego typu działania, warto cofnąć się do podstawówki i przypomnieć sobie jedną, kluczową zasadę matematyczną. Nawet jeśli wydaje się oczywista, to właśnie od niej zależy, czy nasze obliczenia będą prawidłowe. Mowa o kolejności wykonywania działań.
Zgodnie z tą regułą, najpierw zawsze patrzymy na nawiasy i obliczamy wszystko, co się w nich znajduje. Następnie przechodzimy do potęg i pierwiastków, jeśli się pojawiają, a potem wykonujemy mnożenie i dzielenie, kierując się od lewej do prawej. Na końcu przeprowadzamy dodawanie i odejmowanie, również od lewej do prawej. Przestrzeganie tej zasady pozwala uniknąć chaosu i błędów nawet w najbardziej złożonych wyrażeniach.
Pamiętanie o kolejności jest niezwykle ważne, ponieważ z pozoru drobna zmiana, może sprawić, że wynik, okaże się całkowicie nieprawidłowy. Wobec tego, zanim przystąpimy do rozwiązywania bardziej rozbudowanych działań, warto przypomnieć sobie tę zasadę i wykonywać je krok po kroku.
Czytaj również: Policzysz to bez kalkulatora? Uważaj, bo łatwo o błąd
Jaki będzie poprawny wynik? Tak szybko rozwiążesz to zadanie
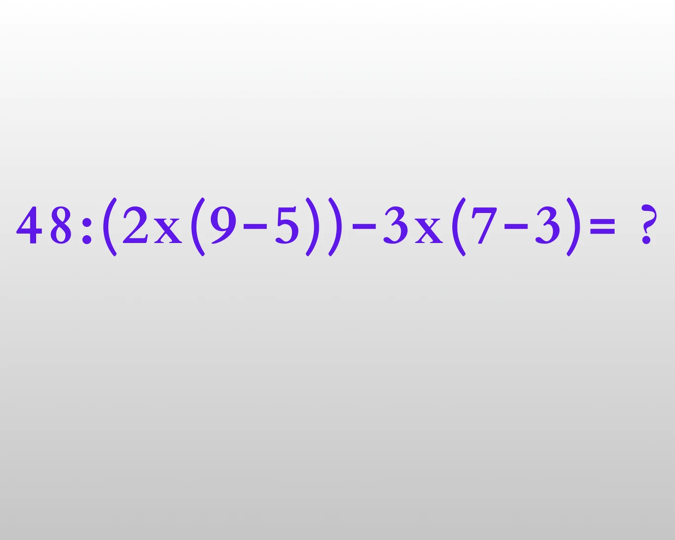
Rozwiązując tego typu działania matematyczne, warto je sobie rozbić na mniejsze części, stosując oczywiście kolejność wykonywania działań. Dzięki temu krok po kroku szybko dojdziemy do prawidłowego wyniku. W przypadku przykładu 48 : (2 × (9 - 5)) − 3 × (7 - 3), należy zrobić to tak:
Najpierw obliczamy działania w nawiasach:
9 - 5 = 4
7 - 3 = 4
Następnie wykonujemy pierwsze mnożenie w nawiasie:
2 × 4 = 8
Mnożymy liczby poza nawiasem:
3 × 4 = 12
Przechodzimy do dzielenia:
48 : 8 = 6
Na końcu wykonujemy odejmowanie:
6 - 12 = -6
Dzięki temu otrzymujemy prawidłowy wynik, czyli -6. Zachowanie właściwej kolejności działań pozwala rozwiązać nawet pozornie skomplikowane wyrażenia w prosty i bezbłędny sposób.


