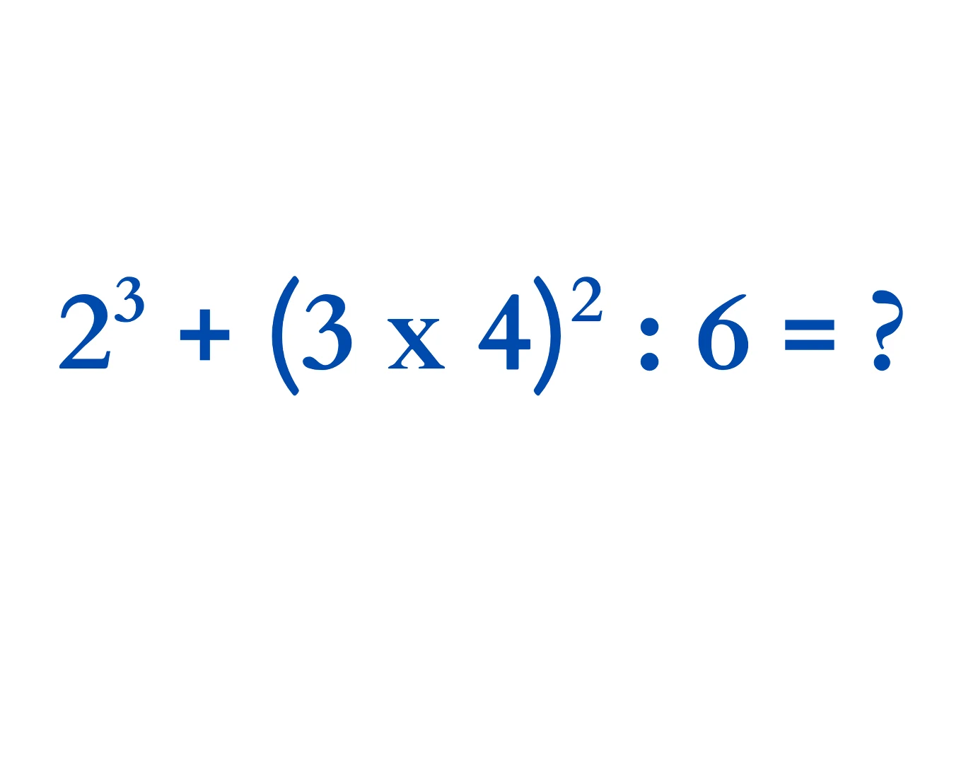
Po latach łatwo zapomnieć o niektórych zasadach matematycznych, które poznaliśmy w szkole. Niestety bez nich nie będziemy w stanie prawidłowo rozwiązać powyższego działania. Sprawi to, że najprawdopodobniej pomylimy się już w pierwszym lub drugim kroku. Sprawdź, czy poradzisz sobie z tym zadaniem.
Dlaczego warto regularnie rozwiązywać matematyczne zadania? Korzyści jest wiele
W codziennym pędzie warto znaleźć kilka chwil dla naszego umysłu i powrócić do czasów szkolnych, rozwiązując matematyczne działania. Jest to świetna aktywność dla mózgu, która pozwala go zaangażować na wielu poziomach.
Przede wszystkim rozwiązywanie zagadek matematycznych może poprawić naszą zdolność do logicznego myślenia. Co więcej, dzięki robieniu tego systematycznie, poprawimy swoją koncentrację oraz pamięć. Dodatkowo matematyka stymuluje kreatywność i pozwala zwiększyć umiejętność rozwiązywania problemów.
Mówi się również o tym, że angażując różne obszary mózgu, możemy zwiększyć zdolność do szybkiego podejmowania decyzji w codziennym życiu. Warto więc regularnie sięgać po różnego rodzaju zagadki.
Czytaj również: Uczniowie nie mają problemu, dorośli się głowią. Jak szybko podasz wynik?
Jak rozwiązać to działanie? O tym musisz pamiętać, inaczej nie poznasz prawidłowego wyniku
Chcąc rozwiązać powyższe działanie, musimy przypomnieć sobie pewną ważną zasadę matematyczną. Mowa oczywiście o kolejności wykonywania działań. Bez tego nie uda nam się uzyskać prawidłowej odpowiedzi.
Zgodnie z tą zasadą, musimy wiedzieć, że obliczanie działań należy rozpoczynać od wartości w nawiasach. Następnie obliczamy potęgi oraz pierwiastki. Później zajmujemy się mnożeniem i dzieleniem, licząc je od lewej do prawej. Na koniec wykonujemy dodawanie i odejmowanie. Dzięki temu unikniemy błędów.
Przekładając więc tę teorię na praktykę, działanie 2^3 + (3x4)^2 : 6, należy wykonać następująco:
- Na początek obliczamy wartość w nawiasach 3x4=12
- Następnie przechodzimy do potęgowania. 2^3 = 8, a 12^2=144.
- Teraz nasze działanie wygląda już znacznie mniej skomplikowanie, ponieważ jest to 8 + 144 : 6. Dzielimy więc 144 na 6 i otrzymujemy liczbę 24.
- Na koniec pozostaje nam obliczenie 8+24.
Dzięki kolejności wykonywania działań możemy dojść do prawidłowego wyniku, jakim jest 32. Znając tę podstawową zasadę matematyczną, bez trudu rozwiążemy to zadanie.


